Choć egzamin maturalny z matematyki odbywa się tego samego dnia i o tej samej godzinie dla obu formuł, to jednak istnieją między egzaminami ważne różnice. Przede wszystkim, matura 2023 z matematyki w nowej formule oznacza dla zdających więcej czasu na rozwiązanie zadań. W formule 2015 uczniowie mieli 170 minut, a w formule 2023 180 minut. Nie bez powodu. W formule 2015 miało być mniej zadań zamkniętych i wielokrotnego wyboru.

Matematyka w formule 2015: Kto zdawał?

Jak wspominaliśmy, dzisiejszy egzamin maturalny z matematyki na poziomie podstawowym odbył się w dwóch formułach – 2015 i 2023. Pierwsza formuła jest tzw. „starą maturą", którą zdawali absolwenci 4-letnich techników, uczący się według starej podstawy programowej oraz absolwenci szkół branżowych II stopnia.

Matura 2023: arkusze CKE z matematyki i odpowiedzi dla formuły 2015

Zgodnie z zapowiedzią, w formule 2015 miało być mniej zadań zamkniętych i mniej zadań wielokrotnego wyboru, ale czy faktycznie tak właśnie wyglądała matura z matematyki 2023? Żeby poznać odpowiedź na to pytanie musimy zobaczyć arkusze egzaminacyjne.

Link do arkusza matura 2023 [Formuła 2015]

Matura 2015: Matematyka, poziom podstawowy. ODPOWIEDZI

Zaraz po opublikowaniu arkuszy egzaminacyjnych przez CKE, do zadań w formule 2015 zasiądą nasi eksperci - specjaliści z „Matematyka Gryzie"*. Proponowane przez nich odpowiedzi z matematyki znajdziecie w tym artykule.

Arkusz CKE i odpowiedzi. Matematyka, poziom podstawowy formuła 2015
ikona lupy />
Zadanie 1 / Inne
Zadanie 2
ikona lupy />
Zadanie 2 / Inne
Arkusz CKE i odpowiedzi. Matematyka, poziom podstawowy formuła 2015
ikona lupy />
Zadanie 3 / Inne
Arkusz CKE i odpowiedzi. Matematyka, poziom podstawowy formuła 2015
ikona lupy />
Zadanie 4 / Inne
Zadanie 5
ikona lupy />
Zadanie 5 / Inne
Zadanie 6
ikona lupy />
Zadanie 6 / Inne
zad.7
ikona lupy />
Zadanie 7 / Inne
Zadanie 8
ikona lupy />
Zadanie 8 / Inne
zad. 9
ikona lupy />
Zadanie 9 / Inne
Zadanie 10
ikona lupy />
Zadanie 10 / Inne
Zadanie 11
ikona lupy />
Zadanie 11 / Inne
Zadanie 12
ikona lupy />
Zadanie 12 / Inne
Zadanie 13
ikona lupy />
Zadanie 13 / Inne
Zadanie 14
ikona lupy />
Zadanie 14 / Inne
Arkusz CKE i odpowiedzi. Matematyka, poziom podstawowy formuła 2015 - zadanie 15
ikona lupy />
Zadanie 15 / CKE
Zadanie 16
ikona lupy />
Zadanie 16 / Inne
Zadanie 17
ikona lupy />
Zadanie 17 / Inne
Zadanie 18
ikona lupy />
Zadanie 18 / Inne
Arkusz CKE i odpowiedzi. Matematyka, poziom podstawowy formuła 2015 - zadanie 19
ikona lupy />
Zadanie 19 / Inne
Arkusz CKE i odpowiedzi. Matematyka, poziom podstawowy formuła 2015 - zadanie 20
ikona lupy />
Zadanie 20 / Inne
Zadanie 21
ikona lupy />
Zadanie 21 / Inne
Arkusz CKE i odpowiedzi. Matematyka, poziom podstawowy formuła 2015 - zadanie 22
ikona lupy />
Zadanie 22 / CKE
Arkusz CKE i odpowiedzi. Matematyka, poziom podstawowy formuła 2015 - zadanie 23
ikona lupy />
Zadanie 23 / CKE
Arkusz CKE i odpowiedzi. Matematyka, poziom podstawowy formuła 2015 - zadanie 24
ikona lupy />
Zadanie 24 / CKE
Arkusz CKE i odpowiedzi. Matematyka, poziom podstawowy formuła 2015 - zadanie 25
ikona lupy />
Zadanie 25 / CKE
Arkusz CKE i odpowiedzi. Matematyka, poziom podstawowy formuła 2015 - zadanie 26
ikona lupy />
Zadanie 26 / CKE
Arkusz CKE i odpowiedzi. Matematyka, poziom podstawowy formuła 2015 - zadanie 27
ikona lupy />
Zadanie 27 / CKE
Arkusz CKE i odpowiedzi. Matematyka, poziom podstawowy formuła 2015 - zadanie 28
ikona lupy />
Zadanie 28 / CKE
Arkusz CKE i odpowiedzi. Matematyka, poziom podstawowy formuła 2015 - zadanie 29
ikona lupy />
Zadanie 29 / CKE
Arkusz CKE i odpowiedzi. Matematyka, poziom podstawowy formuła 2015 - zadanie 30
ikona lupy />
Zadanie 30 / CKE
Arkusz CKE i odpowiedzi. Matematyka, poziom podstawowy formuła 2015 - zadanie 31
ikona lupy />
Zadanie 31 / CKE
Arkusz CKE i odpowiedzi. Matematyka, poziom podstawowy formuła 2015 - zadanie 32
ikona lupy />
Zadanie 32 / CKE
Arkusz CKE i odpowiedzi. Matematyka, poziom podstawowy formuła 2015 - zadanie 33
ikona lupy />
Zadanie 33 / CKE
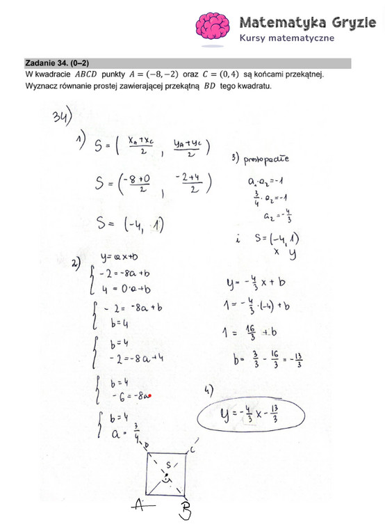
Arkusz CKE i odpowiedzi. Matematyka, poziom podstawowy formuła 2015 - zadanie 34
ikona lupy />
Zadanie 34 / CKE
Arkusz CKE i odpowiedzi. Matematyka, poziom podstawowy formuła 2015 - zadanie 35
ikona lupy />
Zadanie 35 / CKE
Zad. 36
ikona lupy />
Zadanie 36 / Inne

Strona nie odświeża się automatycznie kliknij F5 aby odświeżyć

Jeśli chcesz sprawdzić, co było w formule 2023 kliknij tutaj:

Jakie jeszcze egzaminy czekają maturzystów?

Matematyka ma maturze 2023: Poziom rozszerzony. Arkusze CKE i odpowiedzi z rozszerzenia

Choć dzisiejszy egzamin z matematyki dobiegł końca, nie dla wszystkich maturzystów jest to pożegnanie z królową nauk. Przed wieloma maturzystami wciąż jeszcze drugi sprawdzian – matematyka na poziomie rozszerzonym, który odbędzie się w piątek 12 maja o godzinie 9.00.

Arkusze CKE oraz proponowane odpowiedzi na matematyczne zadania na poziomie rozszerzonym również znajdziecie w naszym serwisie.

A jakie egzaminy poza matematyką są jeszcze przed maturzystami?

Matura 2023: Harmonogram kolejnych egzaminów

  • 8 maja, godz. 14:00 - język hiszpański (poziom rozszerzony oraz poziom dwujęzyczny)
  • 9 maja, godz. 9:00 - język angielski (poziom rozszerzony oraz poziom dwujęzyczny)
  • 9 maja, godz. 14:00 - filozofia (poziom rozszerzony)
  • 10 maja, godz. 9:00 - wiedza o społeczeństwie (poziom rozszerzony)
  • 10 maja, godz. 14:00 - język niemiecki (poziom rozszerzony oraz poziom dwujęzyczny)
  • 11 maja, godz. 9:00 - biologia (poziom rozszerzony)
  • 11 maja, godz. 14:00 - język rosyjski (poziom rozszerzony oraz poziom dwujęzyczny)
  • 12 maja, godz. 9:00 - matematyka (poziom rozszerzony)
  • 12 maja, godz. 14.00 - język francuski (poziom rozszerzony oraz poziom dwujęzyczny)
  • 15 maja, godz. 9:00 - chemia (poziom rozszerzony)
  • 15 maja, godz. 14:00 - historia muzyki (poziom rozszerzony)
  • 16 maja, godz. 9:00 - geografia (poziom rozszerzony)
  • 16 maja, godz. 14:00 - języki mniejszości narodowych (poziom podstawowy)
  • 17 maja, godz. 9:00 - język polski (poziom rozszerzony)
  • 17 maja, godz. 14.00 - języki mniejszości narodowych (poziom rozszerzony)
  • 18 maja, godz. 9:00 - historia (poziom rozszerzony)
  • 18 maja, godz. 14.00 - język włoski (poziom rozszerzony oraz poziom dwujęzyczny)
  • 19 maja, godz. 9:00 - fizyka (poziom rozszerzony)
  • 19 maja, godz. 14.00 - historia sztuki (poziom rozszerzony)
  • 22 maja, godz. 9:00 - informatyka (poziom rozszerzony)
  • 22 maja, godz. 14.00 - język kaszubski (poziom rozszerzony), język łemkowski (poziom rozszerzony), język łaciński i kultura antyczna (poziom rozszerzony)

* Matematyka Gryzie - kurs maturalny z matematyki w aplikacji o nazwie Matma Gryzie